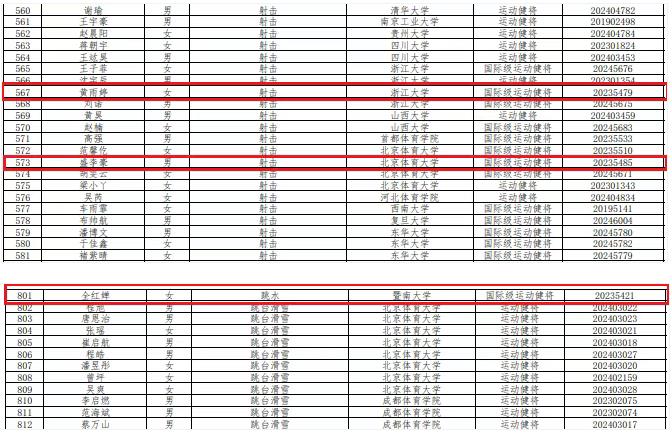
5月6日,体育总局科教司发布关于2025年优秀运动员本科保送拟推荐名单的公示。其中,全红婵拟保送暨南大学,黄雨婷拟保送浙江大学,盛李豪拟保送北京体育大学。
全文如下:
体育总局科教司关于2025年优秀运动员本科保送拟推荐名单的公示
根据教育部、国家体育总局关于高校保送录取优秀运动员有关要求,经相关招生院校、省级体育行政部门、体育总局运动项目管理中心、全国性体育社会组织、省级招生考试机构等审核,共1101人符合2025年优秀运动员本科保送条件,现对拟推荐名单进行公示。
公示时间:2025年5月6日至12日。
任何单位和个人对公示信息持有异议,可在公示期内以书面形式(包括必要的证明材料)向体育总局科教司提出。单位反映情况的,需在相关材料上加盖本单位公章,并写明联系人姓名、通讯地址与电话;个人反映情况的,需在相关材料上签署真实姓名,并写明本人的身份证号、工作单位、通讯地址和电话。相关材料传真或邮寄至体育总局科教司,逾期及匿名反映不予受理。体育总局科教司对反映情况的单位和个人信息予以保密,并认真组织调查、核实和处理。
传真:010-67134017
邮寄地址:北京市东城区体育馆路2号体育总局科教司
体育总局科教司
2025年5月6日


编辑:陈慧聪(实习)李舒宇
审核:练海林
请输入验证码