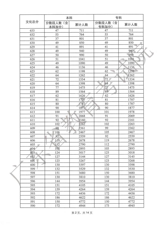
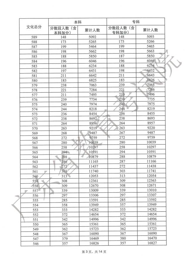
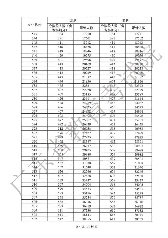
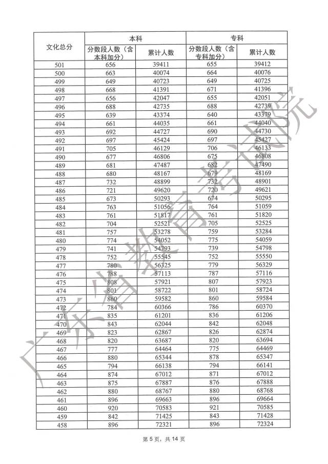
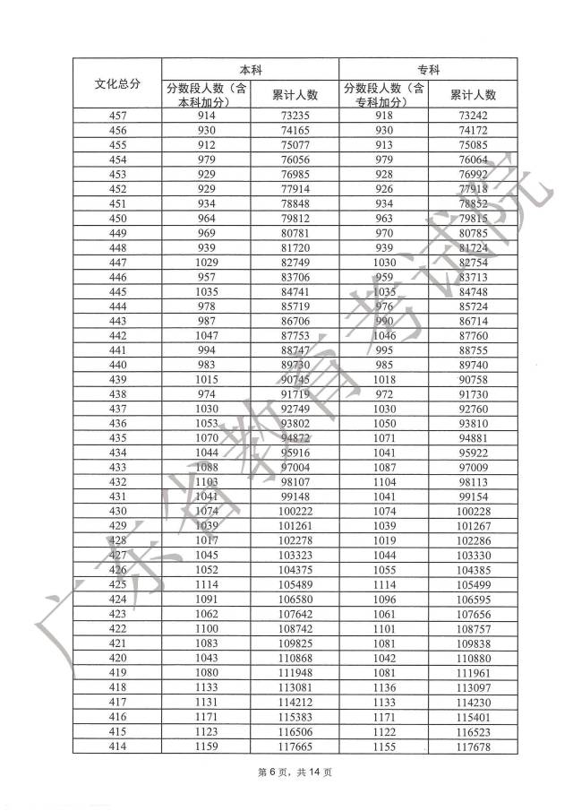
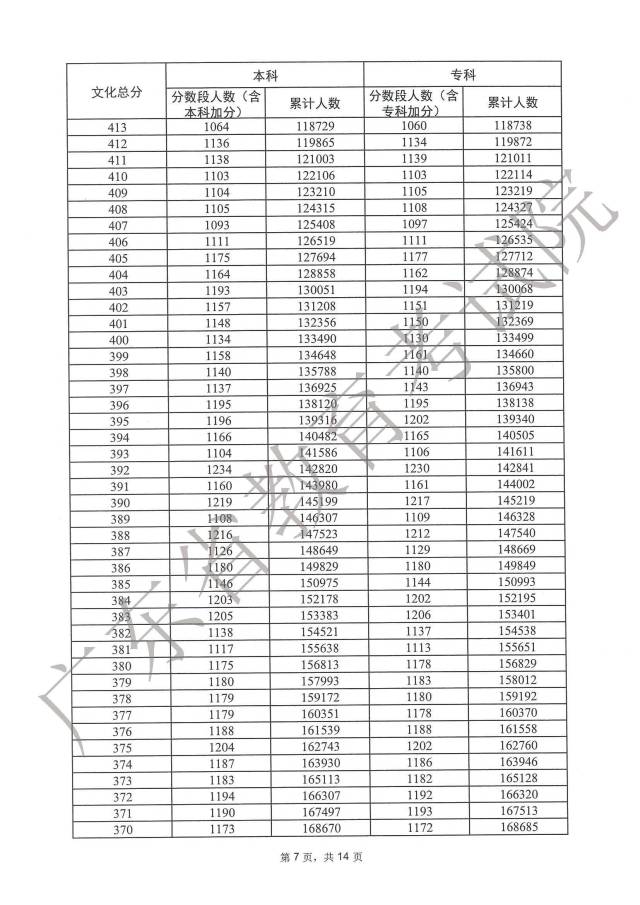
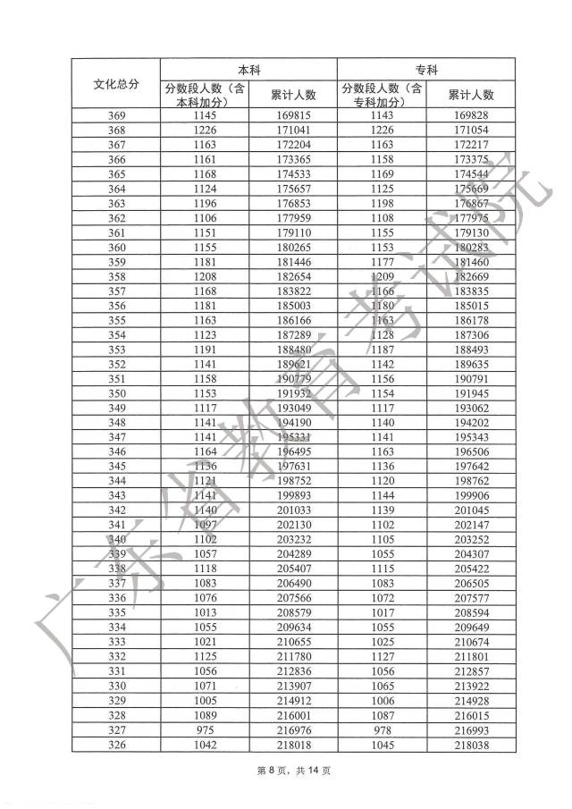
广东省2023年普通高校招生考生填报志愿时间为6月28日—7月4日,为便于考生填报志愿,确保志愿填报工作顺利进行,6月26日,广东省教育考试院公布广东今年普通高考各科类各分数段成绩数据,物理历史共有30565人超600分。
从数据来看,选考历史科的考生289685人,有31人670分以上,659分以上有98人,626分以上有1041人,600分以上有3397人。
选考物理科的考生共409604人,有27人700分以上,693分以上有96人,670分以上有1067人,600分以上有27168人。
快来看看,你排位怎样?前面有多少人?





















































































南方+记者:马立敏
编辑:张晓珊
审核:练海林
请输入验证码