7月11日,记者从广东省教育考试院获悉,广东2023年夏季普通高校招生录取工作于7月9日正式开始。省招生办对提前批普通类的空军、海军招飞院校和军检院校,以及提前批独立设置本科艺术院校(含参照)及经批准的院校(专业)的统考+校考类别进行了投档录取。军检、空军、海军院校共投出3415人。
空军、海军招飞共投出72人,目前已完成录取工作,其中空军招飞录取68人,海军招飞录取4人。
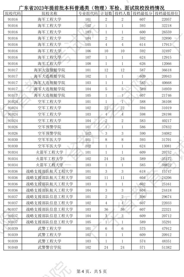
军检院校共投出3343人,其中军检院校普通类(物理)投出2371人,普通类(历史)投出972人。从投档结果来看,绝大部分院校均满档。
提前批军检院校和独立设置本科艺术院校(含参照)及经批准的院校(专业)的统考+校考类别的录取工作预计于7月12日结束,录取结果会根据招生院校录取进度情况陆续公布,考生可于7月11日17:00开始查询已结束录取的院校录取结果。
根据招生录取工作日程安排,提前批独立设置本科艺术院校(含参照)及经批准的院校(专业)的统考合格类别和非军检院校将分别于7月12日和13日开始正式投档。









南方+记者:马立敏
编辑:张晓珊 古静芸(实习)
审核:练海林
请输入验证码